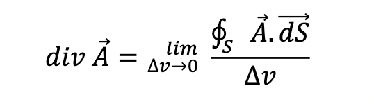
Divergence of a vector field A at a point is the net outward flux of A per unit volume as the volume about the point tends to zero and is given as:

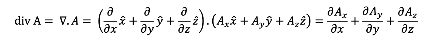
In Cartesian coordinates, the divergence is simply:

The physical significance of divergence is the rate at which density exits a given region of space
e.g. you go on top of a hill and through water; how fast would water flow away from the point.